新葡京娱乐-葡京娱乐场_百家乐玩法_全讯网导航 (中国)·官方网站

En

物理與光電工程學院李朝紅團隊利用貝葉斯量子參數估計實現了原子鐘的高精度鎖定

來源:物理與光電工程學院 發布時間:2024-10-29 10:31 點擊數: Views

近日,深圳大學量子精密測量研究所和物理與光電工程學院的李朝紅團隊利用貝葉斯量子參數估計實現了冷原子相干布居數囚禁鐘的閉環鎖定,主要結果于2024年10月23日發表在美國物理協會Physical Review Applied上,并選為編輯推薦文章。編輯認為,這一工作為原子鐘鎖定提供了一種高精度方法,并且在基于干涉的量子傳感器件領域存在極有前景的應用。

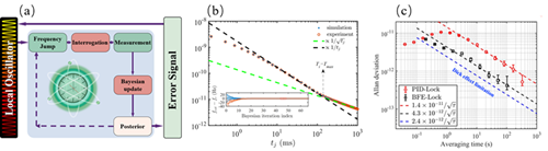
李朝紅團隊基于自主搭建的冷銣原子相干布居數囚禁鐘,利用貝葉斯量子參數估計首次在積分時間尺度上實現了海森堡標度【T^(-1)】的鐘躍遷頻率測量,并用于此原子鐘的閉環鎖定。團隊研究人員通過設計適用于原子鐘鎖定的貝葉斯量子參數估計算法【圖(a)】,利用具有指數增長積分時間的拉姆塞干涉測量序列,同時在貝葉斯迭代過程中自適應調節本地振蕩器的頻率,實現鐘躍遷頻率的測量。經過迭代,貝葉斯估計值趨于鐘躍遷頻率,在積分時間到達最大相干時間前,頻率測量的靈敏度遵循海森堡標度【圖(b)】。進一步,利用基于貝葉斯量子參數估計的鐘躍遷頻率測量,將本地振蕩器頻率直接鎖定在原子躍遷頻率上,實現了原子鐘的貝葉斯閉環鎖定。相對于傳統的PID鎖定,利用貝葉斯量子參數估計鎖定的原子鐘的穩定度提高了5.1(4)dB【圖(c)】。相比美國國家標準與技術研究院報道的穩定度1.3*10^(-11)/τ^(1/2)【Appl. Phys. Lett. 111, 224102 (2017)】、英國斯特拉斯克萊德大學報道的穩定度2*10^(-11)/τ^(1/2)【Optics Express 27, 38361 (2019)】和中國計量科學研究院報道的穩定度2.4*10^(-11)/τ^(1/2)【Chin. Phys. B 31, 043201 (2022)】,李朝紅團隊利用貝葉斯量子參數估計得到的穩定度為4.3*10^(-12)/τ^(1/2),是目前冷原子相干布居數囚禁鐘的最高穩定度。此外,基于貝葉斯量子參數估計的原子鐘鎖定對技術噪聲具有極好的魯棒性。

該成果以“Atomic clock locking with Bayesian quantum parameter estimation: Scheme and experiment”為題發表在Physical Review Applied上,深圳大學為第一單位和通訊作者單位,深圳大學助理教授韓成銀、中山大學博士生馬翥和湖北師范大學講師邱宇翔為共同第一作者,深圳大學李朝紅教授、鹿博副教授和中山大學黃嘉豪副教授為共同通訊作者。該研究得到了國家自然科學基金委員會、科技部和廣東省科技廳等機構的資助。

論文鏈接:https://journals.aps.org/prapplied/abstract/10.1103/PhysRevApplied.22.044058

南京百家乐官网赌博现场被| 网上百家乐官网娱乐场开户注册| 全讯网5532555| 真人百家乐官网输钱惨了| 澳门百家乐论坛及玩法| 至尊百家乐娱乐| ceo娱乐城信誉| 沙龙百家乐官网娱乐平台| 百家乐连跳规律| 金宝博备用网址| 百家乐官网真人荷官网| 威尼斯人娱乐城安全吗| 百家乐官网小型抽水泵| 百家乐游戏规范| 武清区| 赌百家乐官网庄闲能赢| 百家乐怎么玩请指教| 百家乐官网怎样捉住长开| 普格县| 百家乐赌博机原理| 德州扑克怎么玩| 海港城百家乐官网的玩法技巧和规则 | 水果老虎机破解| 专业百家乐官网分析| 罗盘对应24宿| 澳门百家乐破解| 洛宁县| 视频百家乐试玩| 足球博彩网| 康莱德百家乐官网的玩法技巧和规则| 在线百家乐博彩| 百家乐怎么才会赢| 百家乐官网怎样下注| 太阳城蓝山园| 七胜百家乐官网娱乐城总统网上娱乐城大都会娱乐城赌场 | 德州扑克读牌| 百家乐官网线上游戏| 在线百家乐官网合作| 大发888皇家赌场| 百家乐网址多少| 新利88国际娱乐网|